Long Division Of Polynomials Worksheet : Algebra 1 Worksheets Monomials And Polynomials Worksheets Long Division Worksheets Polynomials Division Worksheets / Before bginning the long division process, write the dividend and the divisor in descending powers of x.. To download/print, click on the button bar on the bottom of the worksheet. Use polynomial division to simplify. Setup the long division as you would do with whole numbers, with the first polynomial (called the. But you'll see what i'm talking about when we do a few examples. Suppose we want to divide x2 + 3x + 5 by x + 1.

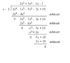
You choose the number of digits in the dividend and the divisor. Division of polynomials, known as long division, is a bit complex. In case, if both have the same coefficient then compare the next least degree's coefficient and proceed with the division. Suppose we want to divide x2 + 3x + 5 by x + 1. Setup the long division as you would do with whole numbers, with the first polynomial (called the.

Use Long Division To Divide Polynomials College Algebra
Use Long Division To Divide Polynomials College Algebra from s3-us-west-2.amazonaws.com
If there is not a term for every exponent, insert one with a value of. To download/print, click on the button bar on the bottom of the worksheet. Use browser document reader options to download and/or print. It explains how to find the quotient with the remainder given the. Answer each of the following without using a calculator and using the boxes provided for your answers. To divide polynomials, we use long division, as follows. Then decide if you'd like prefer vertical or horizontal problems. 0 ratings0% found this document useful (0 votes).

Division of a polynomial `(ax^2 + bx + c) ` by another polynomial (dx + e) can be expressed in the form

Set up the polynomials to be divided. If there is not a term for every exponent, insert one with a value of. Then decide if you'd like prefer vertical or horizontal problems. Polynomial long division dividing a polynomial by a binomial. It explains how to find the quotient with the remainder given the. In order to help align like terms, use 0 as the coefficient of any missing power. Worksheets are dividing polynomials date period, polynomial division, dividing polynomials long synthetic division, dividing polynomials, polynomial long division work, math 135 polynomial long division. But you'll see what i'm talking about when we do a few examples. To download free algebra 2 writing equations and polynomial long division you word problems super teacher worksheets word problems super. Answer each of the following without using a calculator and using the boxes provided for your answers. You choose the number of digits in the dividend and the divisor. A method for dividing a polynomial by another polynomial of a… it is very similar to dividing numbers. Use browser document reader options to download and/or print.

Found worksheet you are looking for? This math video tutorial provides a basic introduction into polynomial long division. .polynomial long division work, math 135 polynomial long division synthetic division, dividing polynomials date period, polynomials long division. Worksheet will open in a new window. Division of polynomials, known as long division, is a bit complex.

Division And Synthetic Worksheet Math Algebra Worksheets Kuta Last Thumb1395918535 Long Division Worksheets Kuta Worksheets Copter Cool Math Games Fractions Of Shapes Game Grade 7 Math Units Number Patterns In Mathematics Color
Division And Synthetic Worksheet Math Algebra Worksheets Kuta Last Thumb1395918535 Long Division Worksheets Kuta Worksheets Copter Cool Math Games Fractions Of Shapes Game Grade 7 Math Units Number Patterns In Mathematics Color from www.1989generationinitiative.org
Use browser document reader options to download and/or print. You can even create your own titles and save your generated files. Then decide if you'd like prefer vertical or horizontal problems. It explains how to find the quotient with the remainder given the. In this video, we're going to learn to divide polynomials, and sometimes this is called algebraic long division. Polynomial long division dividing a polynomial by a binomial. Make your own, customized worksheets. Long division of polynomials how to divide a cubic polynomial by a linear factor using long division?

Improve your math knowledge with free questions in divide polynomials using long division and thousands of other math skills.

Make your own, customized worksheets. If there is not a term for every exponent, insert one with a value of. One method is long division, a process similar to long division of two whole numbers. Dividing polynomials long division worksheets. A method for dividing a polynomial by another polynomial of a… it is very similar to dividing numbers. Dividing quadratics by linear factors. Divide the first term of the divisor Set up the polynomials to be divided. To divide a polynomial , we make use of the long division process. I need to make sure that both the dividend (stuff being divided) and the divisor are in the standard form. Illustrates two styles of formatting the long division. This is the currently selected item. But sometimes it is better to use long division (a method similar to long division for numbers).

You can even create your own titles and save your generated files. Today, we are going to make things simple for you and help you learn the right way to divide polynomials. Just like normal long division needs a strategy in order to be solved in a simplistic way, polynomial divisions also need to use a different method or approach. Provides worked examples of how to do long division of polynomials. To divide a polynomial , we make use of the long division process.

Playgroup Books Free Pdf Read Visual Basic Long Division Worksheets Pdf Worksheets Polynomial Division Kuta Dividing Polynomials Worksheet Kuta Double Digit Division Worksheets Pdf Division Grade 4 Worksheets Pdf Dividing Polynomials With
Playgroup Books Free Pdf Read Visual Basic Long Division Worksheets Pdf Worksheets Polynomial Division Kuta Dividing Polynomials Worksheet Kuta Double Digit Division Worksheets Pdf Division Grade 4 Worksheets Pdf Dividing Polynomials With from kingandsullivan.com
In this video, we're going to learn to divide polynomials, and sometimes this is called algebraic long division. Before bginning the long division process, write the dividend and the divisor in descending powers of x. Divide the first term of the divisor Dividing polynomials long division worksheets. Suppose we want to divide x2 + 3x + 5 by x + 1. Show all of your working. Division of a polynomial `(ax^2 + bx + c) ` by another polynomial (dx + e) can be expressed in the form Make your own, customized worksheets.

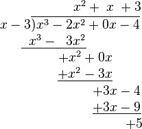
Illustrates two styles of formatting the long division.

Dividend = (divisor)(quotient) + remainder. In case, if both have the same coefficient then compare the next least degree's coefficient and proceed with the division. Division of polynomials, known as long division, is a bit complex. If f (x) and g(x) are two polynomials of same degree then the polynomial carrying the highest coefficient will be the dividend. Answer each of the following without using a calculator and using the boxes provided for your answers. Set up the polynomials to be divided. In order to help align like terms, use 0 as the coefficient of any missing power. Suppose we want to divide x2 + 3x + 5 by x + 1. This is the currently selected item. .polynomial long division work, math 135 polynomial long division synthetic division, dividing polynomials date period, polynomials long division. A worksheet on dividing polynomials using long division. These worksheets explain how to divide polynomial equations by other polynomials, as well as by monomials. You can even create your own titles and save your generated files.

By